Tangensfunktion
Inhalt dieser Webseite

Was ist die Tangensfunktion?
Tangenswerte für spitze Winkel
Kotangensfunktion
Tangenswerte für weitere Winkel
Ermittlung der Tangenswerte
Formeln
Eigenschaften der Tangensfunktion
Bekannte Aufgaben
Arkustangens
Tangenskurven
Übersicht über die trigonometrischen Funktionen
Tangensfunktion im Internet
Referenzen
...
Zur Hauptseite    "Mathematische Basteleien"

Was ist die Tangensfunktion?
...... In einem kartesischen Koordinatensystem sei ein Punkt P(x|y) gegeben.
Verbindet man ihn mit dem Nullpunkt O(0|0), so entsteht der Winkel alpha zwischen der Verbindungsstrecke und der positiven x-Achse. 
Bei der Tangensfunktion ordnet man dem Winkel alpha das Verhältnis von der  Ordinate zur Abszisse zu. 
In der Formelsprache heißt das [alpha  tan(alpha) mit tan(alpha)=y/x].


Die Bezeichnung „Tangens“ führte der Mathematiker Thomas Fincke (1561–1656) in seinem Buch Geometriae rotundi (1583) ein.
Quelle: http://www-history.mcs.st-andrews.ac.uk/Biographies/Fincke.html

Tangenswerte für spitze Winkel   top
Die Grundwerte der Tangensfunktion beziehen sich auf spitze Winkel. Sie heißen Grundwerte, da sie sich in allen Bereichen, in denen der Tangens definiert ist, wiederholen.
...... Man verschafft sich am besten einen Überblick über sie, indem man den Tangens als Strecke darstellt. Dazu erweitert man die Zeichnung oben. Man zeichnet um den Nullpunkt einen Kreis mit dem Radius r=1 LE. Er schneidet die x-Achse in Punkt A.  Man zeichnet in Punkt A die Tangente an den Kreis. 
Sie schneidet die Gerade OP in Punkt B. Es gilt AB=tan(alpha). 
Die Strecke AB wird in der Einheit r=1 gemessen wird, insofern ist sie auch ein Seitenverhältnis.
Herleitung
Nach dem 2.Strahlensatz gilt AB:PQ=OA:OQ oder AB=PQ*OA:OQ=(y*1):x=y:x=tan(alpha).


Man kann so leicht einsehen, dass tan(0°)=0 ist und dass tan(alpha) über alle Grenzen geht, wenn alpha sich 90° nähert. Das heißt, dass tan(90°) nicht definiert wird. Die Stelle alpha=90° ist eine Polstelle. Weiter ist zu vermuten, dass die Tangenswerte stetig mit zunehmendem Winkel monoton steigen. Genaueres ergibt sich aus den folgenden Überlegungen.

Bestimmte Tangenswerte erhält man über spezielle Dreiecke.
...... Im gleichschenklig-rechtwinkligen Dreieck gilt tan(45°)=1.

...... Ist alpha=30°, so entsteht ein 30-60-90-Dreieck.
Es gilt tan(30°)=1/sqrt(3)=(1/3)sqrt(3).

...... Ist alpha=60°, so entsteht ein 30-60-90-Dreieck und es gilt tan(60°)=sqrt(3).

Die Zahlen lassen sich in einer Wertetabelle zusammenfassen.
alpha
30°
45°
60°
90°
tan(alpha)
0
(1/3)sqrt(3)
1
sqrt(3)
-

Wurzelterme bzw. irrationale Zahlen als Funktionswerte sind Ausnahmen. Im Allgemeinen sind die Tangenswerte transzendente Zahlen, die angenähert als Dezimalbrüche angegeben werden können, dann aber in beliebiger Genauigkeit. Diese werden über konvergente Reihen gewonnen.
Es ist heute kein Problem, sich gerundete Tangenswerte über den Taschenrechner zu verschaffen. Man bestimmt z.B. tan(30°) mit dem TI 30 über die Tastenfolge (3) (0) (TAN). Es ergibt sich tan(30°)=0,577350269. Es ist allerdings sinnlos, alle 9 Dezimalen vom Rechner zu übernehmen. Das ist zu genau, denn der Winkel ist nur auf zwei Ziffern genau vorgegeben. Nach einer Faustregel genügen dann beim Tangenswert auch zwei geltende Ziffern, tan(30°)= 0,58. 
Es ist aber üblich, den Tangenswert auf vier Dezimalen genau zu runden. Dazu gehört dann eine Winkelgenauigkeit von etwa 1'=1/60°. Es heißt also tan(30,0°)=0,5774.
Für Winkel größer als 45° und vor allem für Winkel nahe an 90° verwendet man besser den Begriff der geltenden Ziffern. So ist z.B. laut Taschenrechner tan(88°)=28,63625328. Das sind 10 geltende Ziffern. Da sollte man auf 4 geltende Ziffern runden. Das bedeutet tan(88°)=28,64.
Mit dem Taschenrechner kann man sich für eine Wertetabelle weitere Werte verschaffen und einen Graphen zeichnen. Der folgende Graph entstand allerdings mit dem Programm Winplot (URL unten).

Kotangensfunktion top
Die Kotangensfunktion ist eng mit der Tangensfunktion verbunden.
... Der Kotangenswert ist das Verhältnis der Ankathete zur Gegenkathete.
In der Formelsprache heißt das cot(alpha)=b/a.

Dann gilt cot(alpha)=tan(beta)=tan(90°-alpha).


Da beta=90°-alpha gilt, sehen Wertetabelle und Graph folgendermaßen aus.

 
alpha
30°
45°
60°
90°
sin(alpha)
-
sqrt(3)
1
(1/3)sqrt(3)
0

Im Grunde ist die Kotangensfunktion nur eine Variante der Tangensfunktion. 

Tangenswerte für weitere Winkel 
Oben wird zugelassen, dass der Ausgangspunkt P nicht unbedingt im ersten Quadranten liegt wie bisher angenommen. Der Tangens ist für beliebige Winkel definiert.
Die folgenden Zeichnungen stellen tan(alpha) für Winkel größer als 90° dar und zeigen, dass man die Tangenswerte dieser Winkel auf die Tangenswerte spitzer Winkel alpha zurückführt. 

tan(90°+alpha)=tan(alpha).

tan(180°+alpha)=-tan(alpha).

tan(360°-alpha)=-tan(alpha)


Ohne Beschränkung der Allgemeinheit kann man annehmen, dass der Punkt P auf dem Einheitskreis liegt.

Auf diese Weise wird der Tangens für alle Winkel zwischen 0° und 360° erklärt.

Wandert der Punkt P von der x-Achse aus entgegen dem Uhrzeigersinn weiter, so wiederholen sich die Tangenswerte: tan(alpha+360°)=tan(alpha).
Berücksichtigt man die Vorzeichen, wiederholen sich die Tangenswerte schon nach 180°.
tan(alpha+180)=tan(alpha), allgemeiner: tan(alpha+n*180)=tan(alpha), n=1, 2, 3, ...

Wandert der Punkt P von der x-Achse aus im Uhrzeigersinn, so werden die Winkel negativ. 
Dann gilt tan(alpha-n*180)=tan(alpha), n=1, 2, 3, ... 

Ein Graph stellt diesen Sachverhalt noch einmal dar.

Es ist üblich und auch sinnvoll, die Winkel der Tangensfunktion nicht im Gradmaß, sondern im Bogenmaß anzugeben. Dann schreibt man f(x)=tan(x) oder y=tan(x) an Stelle von f(alpha)=tan(alpha).
Der Definitionsbereich ist D=|R \ {[(2k-1)/2]pi, k=...-2 ,-1 ,0 , 1, 2,...}.
Die Angabe der Einheit 1 Radiant (1 rad) ist entbehrlich, wie man unter Bogenmaß auf meiner Kreis-Seite nachlesen kann.

...... Das Bogenmaß bietet sich deshalb an, weil es sich auch im Einheitskreis wiederfindet. Die Größe eines Winkels wird nämlich durch die Länge des Kreisbogens, der zum Winkel gehört, bestimmt. Als Einheit der Längenmessung dient der Radius des Kreises. 

Kotangensfunktion für D=|R. 

Wie oben erwähnt, gilt für die Kotangensfunktion cot(alpha)=tan(90°-alpha). 
Die Erweiterung der Kotangensfunktion für beliebige Winkel im Bogenmaß ist dann cot(x)=tan(-x+pi/2)=-tan(x-p/2). 
Der Graph der Kotangensfunktion geht also aus dem der Tangensfunktion durch Spiegelung an der y-Achse und Verschiebung um pi/2 rad in x-Achsen-Richtung hervor.


Ermittlung der Tangenswerte   top
Funktionswerte mit dem Taschenrechner
Oben wurde schon beschrieben, wie man mit dem Taschenrechner zu tan(30,0°)=0,5774 gelangt. 
Dabei muss man beachten, dass dieser im Grad-Modus steht. Das erkennt man daran, dass im Display DEG steht. Das ist nach dem Einschalten des Rechners der Fall.
Will man den Tangenswert eines Winkels, der im Bogenmaß angegeben ist, bestimmen, schaltet man mit der Taste DRG den Radiant-Modus RAD ein. Dann ergibt sich z.B. tan(1 rad)=1,5574.


Funktionswerte mit dem Tafelwerk
In Vor-Taschenrechner-Zeiten standen die Funktionswerte in einem Tafelwerk ("Logarithmentafeln") bereit. 
...... Man findet in der ersten Zeile

tan(30° 0')=0,5774.

Die Tabellen enthalten Tangenswerte für Winkel auf 1'=1/60° genau. 
Für diese Genauigkeit benötigt man noch Zahlenspalten wie rechts.
Nützlicher als der abgebildete Tafelausschnitt waren umfangreiche Tabellen, die die Logarithmen trigonometrischer Funktionen enthielten. Denn mit Hilfe der Logarithmen wurde früher das Multiplizieren vermieden und durch das einfachere Addieren ersetzt, wenn auch auf Kosten der Genauigkeit.


Berechnung der Tangenswerte
Die Tangenswerte kann man für Winkel |x|<pi/2 nach der Taylor-Reihe, entwickelt um x=0, berechnen.
 
Dabei sind Bn die Bernoulli-Zahlen.
Die Variable n steht für die natürlichen Zahlen.

Die Formel wird lesbarer, wenn man sich auf die ersten Glieder beschränkt.
tan(x) = x + (1/3)x3 + (2/15)x5 + (17/315)x7 +(62/2835)x9 +...

Der Taschenrechner liefert tan(30,0°)=tan(pi/6 rad)=0,5774.
Die Reihe liefert tan(pi/6 rad)=0,52360+0,04785+0,00525+0,00058=0,5773.

Formeln   top
Beziehung zum Kotangens
Es gilt tan(alpha)=1/cot(alpha)
Herleitung für spitze Winkel: tan(alpha)=y/x=1/(x/y)=cot(alpha).


Beziehung zum Sinus und Kosinus
Es gilt  tan(alpha)=sin(alpha)/cos(alpha)
Herleitung für spitze Winkel: tan(alpha)=y/x=(y/r)/(x/r)=sin(alpha)/cos(alpha).

Additionstheorem
Es gilt tan(alpha+beta)=[tan(alpha)+tan(beta)]/[1-tan(alpha)tan(beta)]
Herleitung
tan(alpha+beta)
= sin(alpha+beta)/cos(alpha+beta)
= [sin(alpha)cos(beta)+cos(alpha)sin(beta)]/[cos(alpha)cos(beta)-sin(alpha)sin(beta)]
= [sin(alpha)/cos(alpha)+sin(beta)/cos(beta)]/[1-sin(alpha)/cos(alpha)sin(beta)cos(beta)]
= [tan(alpha)+tan(beta)]/[1-tan(alpha)tan(beta)]

Tan(n*alpha)
Ist alpha=beta, so lautet die Formel tan(2alpha)=2tan(alpha)/[1-tan²(alpha)].
Die Verallgemeinerung ist tan(n*alpha)={tan[(n-1)alpha]+tan(alpha)}/{[1+tan[(n-1)alpha)]tan(alpha)}.
Beweis durch vollständige Induktion
Induktionsanfang (n=2)
tan(2alpha)=[tan(alpha)+tan(alpha)]/[1+tan(alpha)tan(alpha)]=2tan(alpha)/[1-tan²(alpha)]
Induktionsvoraussetzung (richtig für n)
tan(n*alpha)={tan[(n-1)alpha]+tan(alpha)}/{[1+tan[(n-1)alpha]tan(alpha)}
Induktionsschluss (Beweis für n+1)
tan[(n+1)alpha]=tan(n*alpha+alpha)=[tan(n*alpha)+tan(alpha)]/[1-tan(n*alpha)tan(alpha)], wzbw.

Die Formeln zum Tangenssatz stehen auf meiner Webseite Allgemeines Dreieck.

Weitere Formeln zum Tangens findet man auf der Webseite Tangent von MathWorld (URL unten). 

Eigenschaften der Tangensfunktion   top
Noch einmal der Graph der Funktion f(x)=tan(x)


Definitions- und Wertebereich
Größtmöglicher Definitionsbereich
D={x|}\{[(2k-1)/2]*pi, k=...-2, -1, 0, 1, 2, 3,...}
Wertebereich
W=|R

Periode
Es gilt tan(alpha+180°)=tan(alpha) oder tan(x+pi)=tan(x).
Damit ist die Tangensfunktion eine periodische Funktion mit der (kleinsten) Periode 180° oder pi rad.

Besondere Punkte
Nullstellen und zugleich Wendepunkte
xN=k*pi
Polstellen
xP=[(2k-1)/2]pi
Die Variable k steht für ganze Zahlen.

Symmetrie
Die Tangensfunktion ist punktsymmetrisch bezüglich des Nullpunktes. Es gilt tan(x)= - tan(-x).

Ableitung
Es gilt f '(x)=1/cos²(x).
Herleitung
Nach der Quotientenregel gilt [tan(x)]'=[sin(x)/cos(x)]'=[cos²(x)+sin²(x)]/cos²(x)=1/cos²(x), wzbw..
Unten im Kapitel Arkusfunktion wird die Gleichung cos²(x)=1/[1+tan²(x)] hergeleitet, so dass auch gilt 
f '(x)=1+tan²(x).

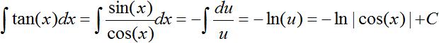
Integral
...
Substitution: cos(x)=u und dx=-du/sin(x).

Bekannte Aufgaben top
Steigung einer Geraden
...... In einem ebenen, kartesischen Koordinatensystem haben Geraden die Darstellung Ax+By+C=0. 
Ist B=0, so sind die zugehörigen Geraden parallel zur y-Achse. 
Ist B ungleich 0, so haben die übrigen Geraden die Normaldarstellung y=mx+b.
Die Frage ist: Wie groß ist der Steigungswinkel alpha? 
Lösung
Die Variable m ist die Steigung der Geraden. Es gilt m=tan(alpha).
In der Zeichnung ist die Normalform y=(1/2)x+1 und der Steigungswinkel alpha=26,6°.


Winkel in der Quadrat-Pyramide
Bei einer Pyramide gibt es zwei bemerkenswerte Winkel, nämlich der Winkel alpha1 zwischen der Grundfläche und einer Seitenfläche und der Winkel alpha2 zwischen der Grundfläche und einer Seitenkante.
Sie lassen sich aus der Grundseite a und der Höhe h mit Hilfe der Tangensfunktion berechnen. 
Die Winkel sind eindeutig, wenn die Grund- und die Seitenkante gleich groß sind. Dieser Fall soll betrachtet werden. Die Pyramide heißt für diesen Sonderfall Quadratpyramide
Für sie gilt h=(1/2)sqrt(2)a.

Alpha1
...... tan(alpha1)=2h/a=sqrt(2) oder alpha1=54,7°. 

Alpha2
...... tan(alpha2)=2h/[(1/2)sqrt(2)a]=2 oder alpha2=63,4°. 
Die Bildpaare ermöglichen eine dreidimensionale Sicht der Pyramide.

Steigung einer Straße
Es gibt Straßenabschnitte, die so steil sind, dass es geboten erscheint, sie den Verkehrsteilnehmern vorher anzuzeigen. Es gibt dazu Verkehrsschilder, auf denen eine Prozentzahl als Maß für die Steigung steht, z.B. 10%. 
...... Das steile Straßenstück sei die Strecke c. Man kann zu ihr ein Steigungsdreieck angeben. 
Die Steigung m ist das Verhältnis der beiden Katheten, also m=a:b, dann ausgedrückt in Prozent. Das ist der Tangens des Steigungswinkels alpha.

...... Ist m=10%=1/10, so ist der Steigungswinkel 
alpha=arc tan(1/10)=5,7°.

...... Es ist grafisch gut gelungen, das Steigungsdreieck in ein "Gefahrzeichen" einzupassen.

Mathematisch gesehen ist die Darstellung weniger gut. Das Dreieck steht auf dem Kopf. Das ansteigende Straßenstück liegt horizontal.


...... Bliebe noch zu ergänzen, dass es für den Gegenverkehr ein Verkehrszeichen gibt, das vor dem Gefälle warnt.

Anmerkung
Die größte Steigung hier im Kreis Lippe hat die Gauseköte im Teutoburger Wald mit bis zu 16% Steigung.

Höhe eines Baumes
...... Es gilt tan(45°)=1.

Diesen Sachverhalt macht man sich beim (rechtwinkligen) Försterdreieck zunutze, um die Höhe eines Baumes abzuschätzen. 

Man sucht eine Entfernung vom Baum, so dass man längs der Hypotenuse des Dreiecks die Spitze des Baumes anpeilen kann. 
Dann ist die Entfernung e vom Baum so groß wie die Höhe h. 
Die Höhe des Baumes ist dann h+a.
 


Arkustangens  top
Definition
...... Die Tangensfunktion ist als Ganzes nicht umkehrbar, denn es gibt z.B. zu y=0 beliebig viele x-Werte, nämlich die Nullstellen. Bei einer Funktion muss aber die Zuordnung eindeutig sein. 

Schränkt man dagegen den Definitionsbereich auf 
D={x|-(1/2)pi<=x<=(1/2)pi} ein, so gibt es zu jedem x-Wert genau einen y-Wert. In diesem Bereich ist sie also umkehrbar.


...... Man erhält den Graphen der Umkehrfunktion, indem man die Tangenskurve an der ersten Winkelhalbierenden spiegelt. 
Für den Funktionsterm der Umkehrfunktion sind die Symbole 
arc tan(x) oder tan-1(x) üblich. 
Der Definitionsbereich ist D=|R, 
der Wertebereich W={y|  -(1/2)pi rad <= y <= +(1/2)pi rad}.

Arkustangenswerte mit dem Taschenrechner
Gibt man in den Taschenrechner einen Tangenswert ein, so wird nach Maßgabe der Umkehrfunktion ein Winkel zwischen -(1/2)pi und +(1/2)pi bzw. -90° und +90° ausgegeben.
So erhält man zum Tangenswert 0,5774 den Winkel 30,0° über die Tastenfolge (2nd) (tan)... 
Man schreibt arc tan(0,5774)=30,0°. 
Zwei weitere Beispiele sind arc tan(0,3333)= 18,4° und arc tan(-0,3333)= -18,4°.

Ableitung
Behauptung: Die Ableitung der Funktion g(x)=arc tan(x)  ist g'(x)=1/(1+x²).
Herleitung
Vorweg wird die Gleichung cos²(x)=1/[1+tan²(x)] bestimmt.
Aus tan²(x)=sin²(x)/cos²(x) folgt cos²(x)tan²(x)=1-cos²(x) oder cos²(x)=1/[1+tan²(x)].
Unten braucht man cos²(y)=1/[1+tan²(y)].

Da g mit g(x)=arc tan(x) die Umkehrfunktion von f mit f(x)=tan(x) ist, folgt aus y=arc tan(x) die Gleichung x=tan(y).

Dann gilt für die Ableitungen g'(x)=1/f'(y). 
Dann ist [arc tan(x)]'=1/tan'(y)=1/[1/cos²(y)]=cos²(y)=1/[1+tan²(y)]=1/(1+x²).

Unbestimmtes Integral
Behauptung:
Herleitung
Es wird die Produktregel angewandt.  Sie heißt
Man setzt u(x)=arc tan(x) und v(x)=x, dann ist u'(x)=1/(1+x²) und v'(x)=1. 
Daraus folgt

Dabei wird verwendet, dass H(x)=(1/2)ln(1+x²) die Stammfunktion von h(x)=x/(1+x²), wie man durch Ableiten von H(x) zeigen kann. 

Reihe
Wie zur Tangensfunktion gibt es auch zur Arkustangensfunktion eine konvergente Reihe. 
Sie lautet arc tan(x) = x - (1/3)x3 + (1/5)x5 - (1/7)x7+(1/9)x9 - +... 

Immer wieder erstaunlich ist die Reihe für den Sonderfall x=1.
Die Reihe ist arc tan(1) = 1 - 1/3+ 1/5- 1/7 + 1/9 - ...+... 
Da arc tan(1)=pi/4 gilt, ergibt sich eine Formel zur Berechnung von pi.
pi/4=1 - 1/3+ 1/5- 1/7 + 1/9 - ...+... 
Allerdings ist das Konvergenzverhalten schlecht. 
Die ersten sechs Summanden führen zu pi=3,35. Es gibt bessere Annäherungen an pi.

Tangenskurven  top
Stammfunktion und Ableitung von f(x)=tan(x)
......
Stammfunktion F(x)=-ln(|cos(x)|)

Funktion: f(x)=tan(x)

Ableitung: f '(x)=1/cos²(x)


Stammfunktion und Ableitung von g(x)=arc tan(x)
...... Stammfunktion G(x)=x arc tan(x)-(1/2)ln(1+x²)

Funktion: g(x)=arc tan(x)

Ableitung: g'(x)=1/(1+x²)

 


Vier Kurven im Vergleich
...... f1(x)=tan(x)

f2(x)=x³

f3(x)=tan³(x)

f4(x)=arc sin(x)

Die Kurven haben im Nullpunkt einen Wendepunkt.
 


Spiegelbilder zum Tangens
...... y=tan(x)
y=tan(-x)
y=arc tan(x)
y=arc tan(-x)

.......................................................................................


Der Tangens im Polarkoodinatensystem
...... Der nebenstehende Graph hat im Polarkoordinatensystem die einfache Darstellung r=tan(t) mit 0<=t<=2pi.
Im kartesischen Koordinatensystem ist das der Graph der Relation x²(x²+y²)=y².
Herleitung
Es gilt r²=x²+y², sin(t)=y/r und cos(t)=x/r. Das führt mit r²=tan²(t) zu 
x²+y²=sin²(t)/cos²(t)=(y²/r²)/(x²/r²)=y²/x² oder x²(x²+y²)=y² oder y2=x4/(1-x2).

Übersicht über die trigonometrischen Funktionen     top
Neben der Tangensfunktion gibt es fünf weitere trigonometrische Funktionen, bei denen einem Winkel im rechtwinkligen Dreieck die übrigen Seitenverhältnisse zugeordnet werden. 
Sinus
sin(x)=a/c
Kosinus
cos(x)=b/c
Tangens
tan(x)=a/b
Kotangens
cot(x)=b/a
Sekans
sec(x)=c/a
Kosekans
csc(x)=c/b
Es gilt 0 <  x < (1/2)pi. 


Alle Funktionswerte findet man am Einheitskreis als Strecken, hier im 1.Quadranten eingezeichnet.
sin(x)=PP'
cos(x)=QP
tan(x)=TR
cot(x)=US
sec(x)=OR
csc(x)=OS
Es gilt .

Alle Graphen in einem Bild
sin(x) und cos(x) 

tan(x) und cot(x) 

sec(x) und csc(x)


In der Schule finden heute nur der Sinus, der Kosinus und der Tangens Verwendung. 
Der Kotangens ist aus den Schullehrbüchern weitgehend verschwunden.
Ich entdeckte den Sekans und den Kosekans zuerst in englischen Schulbüchern. 

Tangensfunktion im Internet     top

Deutsch

André Mössner 
Die Definitionen der Winkelfunktion Tangens
Winkelberechnung mit dem Tangens bzw. Arcustangens
 

Matroid
Die Beziehungen von Sinus und Cosinus
Darunter 
sin[arc tan(alpha)]=alpha/sqrt[(alpha)²+1]
cos[arc tan(alpha)]=1/sqrt[(alpha)²+1]

Werner Brefeld
Der Tangens der drei Innenwinkel im Dreieck

Wikipedia
Tangens und Kotangens, Trigonometrische Funktion, Arkustangens und Arkuskotangens
Tangens Hyperbolicus und Kotangens HyperbolicusTangenssatz, Försterdreieck, Gauseköte

Englisch

School of Mathematics and Statistics - University of St Andrews, Scotland 
Thomas Fincke

Eric W. Weisstein (MathWorld) 
Tangent, Cotangent, SOHCAHTOA, Inverse Tangent, Hyperbolic Tangent

Richard Parris (Freeware-Programme) 
winplot

Wikipedia
Trigonometric functions, Hyperbolic function, Law of tangents

Wolfram Matematica
ONLINE INTEGRATOR


Referenzen top
(1) F. G. Gauß: Vierstellige logarithmische und trigonometrische Tafeln, Stuttgart 1953
(2) Autorengemeinschaft:  Algebra und Geometrie für Ingenieure, Frankfurt/M Zürich 1966 
[ISBN 978-3-87144-107-3] 


Feedback: Emailadresse auf meiner Hauptseite

URL meiner Homepage: https://www.mathematische-basteleien.de/

©  2011 Jürgen Köller

top